Abstract
Background Venetoclax (bcl-2 inhibitor) was first approved in 2018 for use in combination with hypomethylating agents (HMA) or low-dose cytarabine (LDAC) for treatment of newly diagnosed acute myeloid leukemia (AML) in older patients, or those who have comorbidities that preclude use of intensive induction chemotherapy. However, AML is also known to evolve and undergo clonal selection when treated with venetoclax, leading to treatment failure. Mechanisms for adaptive resistance include kinase activation (e.g. FLT3-ITD), clones that acquire biallelic silencing of TP53, and monocytic AML cells that upregulate MCL1 to evade BCL2 blockade. Other issues with venetoclax-based regimens include prolonged cytopenias and increased risk of infection. Our aim was to investigate survival after relapse, subsequent responses to second- line agents, and pattern of infections in patients treated with first-line venetoclax-based combination therapies.
Methods This was a retrospective study of patients who received venetoclax-based regimens for untreated AML or myelodysplastic syndrome with excess blasts (MDS-EB) at LAC+USC Medical Center and Norris Cancer Center in Los Angeles, CA from January 1, 2018 to June 30, 2022. The electronic medical record was reviewed for demographics, disease characteristics, clinical history, transplant status, and survival.
Results 61 patients received frontline venetoclax-based regimens for untreated AML or MDS-EB with a mean age of 65 (range 22-84); 36% were female, 44% non-Hispanic white and 31% were Hispanic/Latino. 41% had AML-MRC (myelodysplasia-related changes), 36% had De Novo AML, 16% had therapy-related AML, and 7% had MDS-EB. The majority (70%) were adverse risk group per ELN 2017 and 46% had complex cytogenetics. 58 patients had available myeloid mutation panel at time of diagnosis. The most common mutations (median allele frequencies) were: TP53=33% (0.45), ASXL1=17% (0.37), NPM1=16% (0.39), IDH2=9% (0.42), IDH1=7% (0.29), FLT3-ITD=5% (0.51). 70% received venetoclax with decitabine, 21% received venetoclax with azacitidine, and 2% received venetoclax with LDAC. Median number of cycles was 3 (1-16). 10 patients underwent allogeneic stem cell transplant.
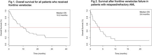
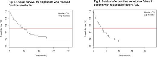
Out of 61 patients, 12 (20%) had primary refractory disease and 23 (38%) relapsed on frontline venetoclax. 49% of these relapsed/refractory patients received salvage chemotherapy. The median time to relapse and number of cycles prior to relapse was 6.3 months (1.6-17.4) and 4 (1-12) respectively. There was no correlation between cytogenetics and genetic variables and risk of relapse. Only 3 (19%) out of 16 patients and 3 (27%) out of 11 patients who received second- and third-line treatment achieved CRi respectively. Myeloid mutation panel was available for 12 patients at time of relapse. Most common mutations were FLT3-ITD/TKD (n=5), TP53 (n=3) and NPM1 (n=3). Six patients acquired new mutations at the time of relapse: FLT3-ITD (n=2), TP53 (n=1), WT1 (n=2) and ETV6 (n=1). Median time from relapse to death was 3 months (1-23). Median overall survival was 10.2 months. Median survival in responder compared to non-responders after cycle 1 and cycle 2 was 16.8 vs. 5.3 months (p <0.001) and 19.4 months vs. 7.4 months (p=0.031) respectively. Median survival in patients with relapse compared to non-relapse was 12.1 vs 6 months (p=0.187). 40 (66%) patients died; major causes of death were disease progression (50%), bleeding (10%) and infection (25%). 28% patients died in intensive care unit. 9 patients had fungal infections; most common were aspergillosis (n=5) and mucormycosis (n=2).
Conclusions Venetoclax-based regimens are effective options for untreated AML in elderly patients. Response to first and second cycle of combination treatment predict survival. Although we observed clonal evolution in relapsed patients, it did not affect their survival. FLT3-ITD was a commonly acquired mutation at time of relapse, thus patients received salvage with targeted agents. Also, as patients relapse, the chance of attaining CR/CRi with subsequent lines of treatment is less than 30% and risk of invasive fungal infection was approximately 15%.
Disclosures
Chaudhary:TCR2: Current equity holder in publicly-traded company; Athelas: Consultancy; Oncotartis: Consultancy; Moderna: Current equity holder in publicly-traded company; Celldex: Current equity holder in publicly-traded company; Angeles Therapeutics: Consultancy, Current equity holder in private company; Pancella: Consultancy; Allogene: Current equity holder in publicly-traded company. Yaghmour:USC: Current Employment.
Author notes
∗Asterisk with author names denotes non-ASH members.

This feature is available to Subscribers Only
Sign In or Create an Account Close Modal